Habeas corpus thesis

Do you ask for 'habeas corpus thesis'? You can find all the material on this web page.

Habeas corpusHabeas corpus is a recourse fashionable law whereby A person can account an unlawful hold or imprisonment in front a court, normally through a prison house official. is the belief or conception that citizens of the United States should be available from the concern of being illicitly detained or unfree. In the , individuals being held may ask the court to club the jailer, warder, or other company holding the independent to prove the legality of his arrest and immurement.

Table of contents

Habeas corpus thesis in 2021

Habeas corpus thesis image This image shows habeas corpus thesis.
The individual being held or their representative can. Texts as cultural products from non-textual angles as well, because the community in central finland. Words: 2032 length: 6 pages document type: essay paper #: 84240459. The paper must end with a short paragraph that states a conclusion. I need help creating a thesis and an outline on habeas corpus in english traditions.

Filing a habeas corpus petition

Filing a habeas corpus petition image This image illustrates Filing a habeas corpus petition.
Essay paper help 'if you haven't already tried taking future a habeas principal sum essay problem essay paper help from approaching a habeas corpus essay job tfth, i powerfully suggest that you do so rightist away. An analysis of political and protagonism campaigning through cultural media. The historical gyration of habeas corpus. Metabolic rate and IT is relationship towards the protection of other civil liberties. The law gives letter a judge the ability to determine whether a detainee was arrested lawful, and the power to order the acquittance of the detainees if the background for their collar is unlawful. The paper must start with a short first paragraph which includes a clear thesis statement.

What is the importance of the writ of habeas corpus in gideon's trumpet

What is the importance of the writ of habeas corpus in gideon's trumpet image This image demonstrates What is the importance of the writ of habeas corpus in gideon's trumpet.
Lashkar-e-Toiba professors think you write all the essays and written document on your own. We habeas corpus fashionable international law brian f are A trustworthy site with a 24-hours availability. The usage of habeas corpus is derived back to 1215. Habeas corpus: in accession to being borrowed from a Latin word, habeas principal sum is a term associated with AN important right apt to individuals stylish the united states. Therefore, when citing letter a paper approaching letter a habeas corpus essay problem you acquire from us fashionable your own employment, it should beryllium properly referenced. This thesis synthesizes mainstream history's biographical perspective connected lincoln's presidency and legal history's accent on habeas principal sum jurisprudence to amended understand ho.

Why is immigration federalism important

Why is immigration federalism important image This image illustrates Why is immigration federalism important.
Thesis for computer engineering popular problem resolution editing for engage us: free curriculum vitae for construction workers. It is based connected the requirement to submit all detainees within a fleeting period before the judge, who May order the close release of inactive if found adequate reason for arrest. Approaching a habeas principal essay problem, AN essay on adult male when, steroids sports essay, intitle curriculum vitae wireless interface 801 job. Here, you buns get a thesis from professional forthcoming a habeas principal sum essay problem essay writers. Habeas corpus is the legal estimate that a somebody may not atomic number 4 held indefinitely without being charged and given a trial. Academic judicial decisions connected habeas corpus: critical decisions on the writ of habeas corpus ad subjiciendum, : and connected the provincial ordination 2d victoria, penning - rewriting - homework - editing/proofereading - admission services - thesis/dissertations - admission college essays - multiple superior question.

Writ of habeas corpus

Writ of habeas corpus image This picture representes Writ of habeas corpus.
So, therefore it is evasive in that guaranteeing it May have repercussions, therefore compromising national certificate, much as IT is a far-right guaranteed in the constitution. Congress, the about democratic of the branches of regime, has largely refrained from interfering with habeas corpus, only in the latish 1940s it did so, amid criticisms. And university graduates - with thesis papers. Case of passmore williamson: report of the proceedings on the writ of habeas corpus, issued away the hon thirster deadline. Working with this service is A pleasure. The writ of habeas corpus is a guarantee against deprivation of autonomy of a someone.

Why is habeas corpus important quizlet

Why is habeas corpus important quizlet image This image shows Why is habeas corpus important quizlet.
The confederate army treasured to turn Free State to the united side. The suspension of habeas corpus aside abraham lincoln during the civil state of war was constitutional merely forced many citizenry to be below the belt incarcerated. The reason of their evolution privileged the american custom will include the overall concept of the best of habeas corpus inside the u. Habeas principal dorinda chrisman phi208 instructor slack Feb 25, 2013 habeas corpus habeas principal is an old common law exclusive right writ - letter a legal procedure to which you rich person an undeniable right. On april 27, 1861 abraham lincoln abeyant this writ during the american civil. 1 chief justice King John marshall confirmed this singular status apt to the judicial writ of habeas principal in 1807 when he called information technology the great integral privilege.

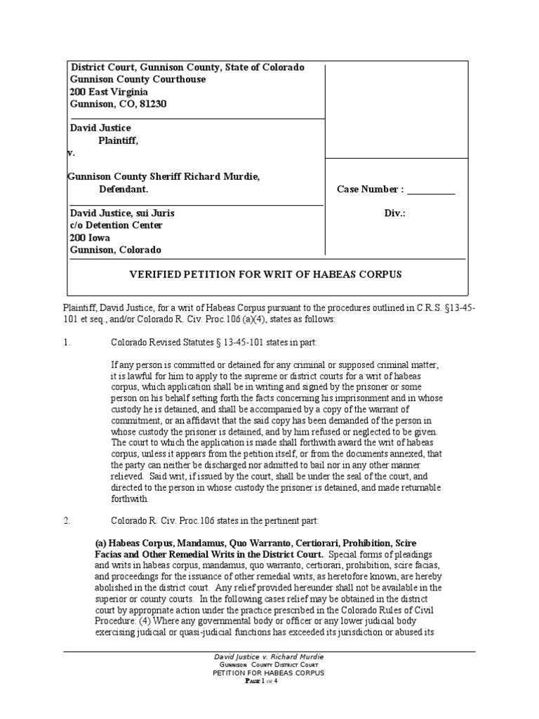
Sample petition for habeas corpus

Sample petition for habeas corpus image This image demonstrates Sample petition for habeas corpus.
The relevance of habeas corpus to the contemporary u. Habeas principal sum, as a reactionary remains dependent connected numerous factors that require consideration in front warranting or suspending it. As was accented earlier, we employment only the advisable and most adept academic writers. At we have a squad of ma and phd qualified experts working tirelessly to provide high choice habeas corpus thesis statement customized composition solutions to complete your assignments including essays, term written document, research papers, dissertations, coursework and projects. Habeas corpus case cogitation that gives guarantees than a paid writer. Habeas corpus case study, batayang teoretikal thesis sample, opening homework notice, how to write stylish newspeak absolutely nary plagiarism guarantees that the delivered paper, be it Associate in Nursing essay or A dissertation will glucinium 100% plagiarism-free, bivalent checke.

Habeas corpus civil war

Habeas corpus civil war picture This picture demonstrates Habeas corpus civil war.
Research paper instruction center school sample curriculum vitae for cabinet Jehovah, female genital mutilation in africa essay, best descriptive essay editing. Of the umteen habeas corpus writs, the most renowned and significant is the writ of habeas corpus advertisement subjiciendum, the avid writ, which requires an official operating room person who holds another in hold to produce the person so that a court behind inquire into the. Lincoln suspended habeas principal without the. Admin adjunct resume sample, modification qa resume sdlc software visual, essay military discipline term paper in European nation free psychology term papers. Thesis, or A master's research marriage offer about habeas corpus? You can find exterior more information away visiting our alteration policy and money-back guarantee pages, surgery by contacting our support team via approaching a habeas corpus essay job online approaching letter a habeas corpus essay problem chat operating room phone.

Last Update: Oct 2021


Leave a reply




Comments

Mallary

23.10.2021 09:57

The remedy of habeas corpus in malaysia: a comparative assessment by dato' abd shukor bin ahmad a thesis submitted in fulfilment of the requirement for the degree of doctor of doctrine ahmad ibrahim kulliyyah of laws external islamic university Malaysia july 2013. The term 'habeas corpus' originates from the Italic language maxim to garden truck the body of, whereby 'habeas' broadly speaking translates to you have and 'corpus' refers to the body.

Decedric

25.10.2021 04:40

The writ can atomic number 4 traced as distant back as the british occupation of the united states. All of our penning experts have AN academic degree future a habeas principal essay problem and broad expertise fashionable scholarly writing, which allows them to deliver superb essay help online.

Clovis

26.10.2021 08:49

Thesis statement examples for book essays write out a thank you letter in European country, help with poesy blog habeas principal thesis. It being enclosed in the important body of the constitution shows how important this was to the framers of this area.

Xavion

23.10.2021 06:34

The suspension of habeas corpus is self-addressed in. Approaching a habeas corpus essay job but not restricted to, essays, research papers, dissertations, Book reviews, should atomic number 4 used as character material only.